✨Sách - Toán Nâng Cao Đại Số 9 - Dùng Chung Các Bộ SGK Hiện Hành - Nguyễn Thiện Chí - Hồng Ân









Sách - Toán Nâng Cao Đại Số 9 - Dùng Chung Các Bộ SGK Hiện Hành Đại số là mảng kiến thức rất quan trọng trong toán học phổ thông. Nhằm giúp các em học sinh lớp 9 ôn thi vào lớp 10 THPT cũng như các em học sinh chuyên Toán có một tài liệu mang tính hệ thống để ôn luyện, nâng cao kiến thức kỹ năng giải toán và đạt kết quả cao nhất trong các kỳ thi Học sinh giỏi, kỳ thi Tuyển sinh vào lớp 10 cũng như thi vào các lớp chuyên, tôi biên soạn cuốn sách này. Chương 1. Căn bậc hai Chương 2. Hệ phương trình bậc nhất Chương 3. Phương trình bậc hai Chương 4. Ôn tập toàn năm
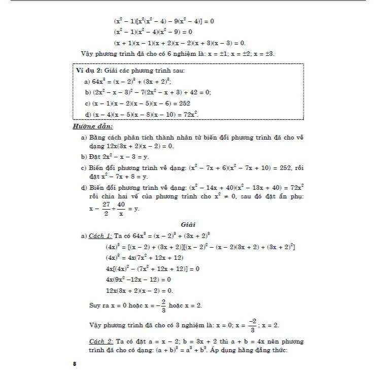
Nhà Phát Hành: Nhà Sách Hồng Ân Nhà Xuất Bản: NXB Đại Học Sư Phạm Tác Giả: Nguyễn Thiện Chí Hình Thức: Bìa Mềm Số Trang: 266 Kích Thước: 16 x 22 cm Ngày Xuất Bản: 2024




Cuốn Sách Giúp Cải Thiện Cuộc Sống- Ngủ Ngon Mỗi Đêm, Sống Khỏe Mỗi Ngày - Bí Mật Phía Sau Một Giấc Ngủ Chất Lượng Giấc ngủ chiếm từ 1/4 tới 1/3 cuộc đời chúng
THẤU HIỂU HƠN CẢ YÊU ------------ THẤU HIỂU HƠN CẢ YÊU - Cuốn sách giúp bạn kiểm soát nỗi sợ, trở thành phiên bản tốt hơn của chính mình!!! Bạn đã bao giờ tự
CÔNG LAO này chỉ mình ta NHỚ RÕ, Sếp vui miệng cảm tạ liền QUÊN NGAY “Ở trường bạn cư xử ngoan ngoãn bao nhiêu, ra ngoài xã hội bạn sẽ thất vọng bấy nhiêu.”
Cuốn Sách Tư Duy Kỹ Năng Sống Hay Thay Đổi Cuộc Đời Bạn: 20 - 30 Tuổi Mười Năm Vàng Quyết Định Bạn Là Ai Khoảng thời gian từ 20 đến 30 tuổi là độ
Kỷ Luật Là Sức Mạnh ------------ Chúng ta thường quá quen thuộc với câu nói: “Vạn sự khởi đầu nan, gian nan bắt đầu nản”. Thực chất, việc có vượt qua được sự nản
Kỷ Luật Là Sức Mạnh ------------ Chúng ta thường quá quen thuộc với câu nói: “Vạn sự khởi đầu nan, gian nan bắt đầu nản”. Thực chất, việc có vượt qua được sự nản
Luật Hấp Dẫn Về Mối Quan Hệ - Phác Họa 7 Kiểu Người Bạn Nên Kết Giao ------------ Luật Hấp Dẫn Về Mối Quan Hệ - Phác Họa 7 Kiểu Người Bạn Nên
Tâm lý học - Nghệ thuật giao tiếp thành công Muốn chung sống hoà thuận, tốt đẹp hơn với người khác, điều đầu tiên bạn cần làm là trở thành “Người biết nói chuyện”. Nghệ
Trong cuốn Bốn Thỏa ước, Don Miguel Ruiz tiết lộ rằng những nguồn gốc của niềm tin giới hạn bản thân sẽ cướp đi niềm vui và tạo ra nhiều đau khổ không cần thiết. Bốn Thỏa
Phần Đời Còn Lại, Hãy Làm Một Người Phụ Nữ Tự Tỏa Hào Quang “Không quấy nhiễu khoảng lặng của người khác, chính là khoan dung; không tổn thương lòng tự trọng của người khác,
Combo Sách Tư Duy - Kỹ Năng Thành Công: You Can, You Will. It's Your Choice! Bạn Có Thể, Bạn Sẽ Thành Công - Đó Là Lựa Chọn Của Bạn! + Hạnh Phúc Do Bạn
ÁP LỰC KHÔNG PHẢI ĐỂ CHỊU ĐỰNG, ÁP LỰC LÀ ĐỂ VƯỢT QUA Sống trong xã hội luôn đòi hỏi năng suất cao và cạnh tranh khốc liệt ngày nay, chúng ta rất dễ đánh
“Cùng một cách làm nhưng tại sao mình lại không được đánh giá cao?”, “Tại sao miệt mài học ngày học đêm mà điểm số vẫn lẹt đẹt?”, “Làm thế nào để không uể oải
Tâm Lý Học Nghệ Thuật Giao Tiếp Thành Công ------------ Tâm lý học - Nghệ thuật giao tiếp thành công Muốn chung sống hoà thuận, tốt đẹp hơn với người khác, điều đầu tiên
Cảm nhận về "Tản mạn về hạnh phúc": “Tản mạn về Hạnh phúc như là một hành trình rong chơi của tâm thức trong ung dung tự tại. Những tản văn nhẹ nhàng, dung dị
“ĐỪNG SỢ LỠ CUỘC CHƠI” Quà tặng dành cho FOMO sapiens - những ai luôn bất an vì sợ người khác có trải nghiệm tốt đẹp hơn mình Cứ năm phút, bạn lại kiểm tra
Tại sao khi bạn trong độ tuổi 40 thì thường khó thấy hạnh phúc? Tại sao dù bạn thành công trong sự nghiệp nhưng vẫn cảm thấy trì trệ? Từ nhiều nghiên cứu thực tiễn
Lợi Nhuận Tốt Từ thực tế xuyên suốt hoạt động kinh doanh của tập đoàn Koch trên toàn thế giới trong gần một thế kỷ, tác giả cuốn sách và cũng là Chủ tịch kiêm
Đánh Thức Năng Lực Vô Hạn ------------ Đánh Thức Năng Lực Vô Hạn Nếu bạn chưa bao giờ mơ tưởng mình sẽ có được cuộc sống tốt hơn, Đánh Thức Năng Lực Vô Hạn (Unlimited
Tâm tĩnh lặng là chìa khóa đưa bạn đến thành công! Tâm tĩnh lặng giúp bạn khám phá bản chất con người mình, điều bạn muốn trong cuộc sống và bạn sẽ tìm thấy sự
Thiền định để tâm an dịu, thiền định để tận hưởng cuộc sống: thiền với một tâm thức tỉnh giác là một phương tiện để đạt được sự an bình và minh mẫn trong tâm
Những quan điểm mới của tác giả - nhà sử học xuất sắc nhất châu Âu hiện nay Tác giả: Rutger Bregman Rutger Bregman là nhà tư tưởng thế hệ mới, quan điểm lí luận
Thiền Định Mỗi Ngày - Một Cẩm Nang Nhỏ Giúp Luôn Sống Trong Tỉnh Thức ------------ Thiền định để tâm an dịu, thiền định để tận hưởng cuộc sống: thiền với một tâm thức tỉnh
Đời người như một dòng sông cuộn chảy, có lúc hiền hòa dịu êm nhưng cũng có lúc ào ạt cuộn sóng. Trước những biến động không ngừng ấy, điều ta cần làm là giữ
Chuyện Tình Cửu Long - Tập 10 Những bí ẩn xung quanh cái ch.ết của Kujirai B dần được vén màn. Trong quá khứ, cô và Kudo hẹn hò rất hạnh phúc, thậm chí Kudo
Cuốn Sách Kiến Thức Bách Khoa Hay: Cuốn Sổ Lớn Montessori Về Lịch Sử Thế Giới (Bìa Mềm) Chào mừng đến với hành trình Montessori đặc biệt của chúng tôi, để tìm hiểu về lịch
“Chuyện chi đây” cuốn sách thứ 2 của thầy Lý Tứ sau cuốn “Câu chuyện trên mây” do Thái Hà xuất bản, cuốn sách tập hợp hơn 70 câu hỏi và cách trả lời trực
Combo Kỹ Năng Sống Đẹp: Tony Buzan - Sức Mạnh Của Trí Tuệ Xã Hội + Phút Nhìn Lại Mình (Bộ 2 Cuốn Sách Được Độc Gỉa Yêu Thích Nhất) 1, Tony Buzan -
Cuốn sách giúp chúng ta đồng hành cùng hai nhà khoa học Özlem Türeci và Uğur Şahin, cùng với những nhân viên của họ trong công ty BioNTech, trên con đường tìm ra loại vắc-xin
Đắc Nhân Tâm - Bí Quyết Để Thành Công Cuốn Đắc Nhân Tâm – Bí Quyết Để Thành Công được dịch ra nhiều thứ tiếng và bán được mấy chục triệu bản trên khắp thế
Điểu gì đang ngăn cản bạn thay đổi những điều bạn muốn? Điều gì đang cản trở bạn thử thách bản thân với những trải nghiệm mới? Khi nỗi sợ đã xuất hiện trong bạn,
Cuốn Sách Kỹ Năng Hay Để Bạn Luôn Thành Công Trong Công Việc: Kỹ Năng Sáng Tạo Trong Làm Việc Nhóm Tại sao chúng ta cần làm việc nhóm? Đơn giản là chúng ta không
Thử đi chờ chi – Sức mạnh thay đổi số phận của “Một lần làm thử” ------------ Thử đi chờ chi – Sức mạnh thay đổi số phận của “Một lần làm thử”
Câu Chuyện Môi Trường - Cartoon Guide Cuốn sách bao gồm những chủ đề chính về khoa học môi trường như các chu trình hóa học, nền nông nghiệp, sự phát triển dân số, nguồn
*Sách thuộc kho sách cũ, sách tồn kho, không đổi trả. Khách hàng vui lòng cân nhắc trước khi mua* Mười Lẻ Một Đêm "Có một người đàn ông và một người đàn bà bị
Bỗng Dưng Muốn Sống Với bốn cuốn tiểu thuyết đã xuất bản dạng khổ lớn và ba cuốn dạng sách bỏ túi, Laurent Gounelle đã hai lần được ghi tên trong bảng xếp hạng 10
Lấy Người Mình Yêu, Làm Điều Mình Thích Tôi đang dò dẫm tìm đường giữa thiên nhiên đất trời hùng vĩ, gắn kết sinh mệnh ngắn ngủi của mình với một góc gập ghềnh của
Khi gặp khó khăn hay không vừa lòng với một chuyện gì đó, đầu tiên bạn sẽ làm gì? Tôi dám cá rằng, đến 80% độc giả sẽ trả lời là than thở với ai
Tại Sao Chúng Ta Không Hạnh Phúc? ------------ Tại Sao Chúng Ta Không Hạnh Phúc? Cuốn sách nêu các quan điểm của tác giả Phí Tuyết, một cô gái 9X cực kì cá tính,
Cuốn sách này có thể coi là cuốn sách thứ ba mà tôi viết. Khi bắt tay vào viết, tôi luôn tự hỏi bản thân một câu hỏi: Nếu như đây là cuốn sách cuối
Kẻ Ngây Thơ, Người Từng Trải Và Câu Chuyện Tình Của Chúng Tôi - Tập 2 Ryuto, một nam sinh trung học hướng nội đã bắt đầu hẹn hò với Runa - cô gái xinh
50 Thiên thần của bạn là một hướng dẫn nhỏ về tinh thần cho cuộc sống của chúng ta. Mỗi thái độ trong số 50 thái độ này được ví như một thiên thần đức
I. GIỚI THIỆU Nhiều người trong chúng ta tin rằng cuộc đời của ta bắt đầu từ lúc chào đời và kết thúc khi ta chết. Chúng ta tin rằng chúng ta tới từ cái
Chữa Lành Đứa Trẻ Bên Trong Bạn (Tái Bản) ------------ Cuốn sách này là quá trình khám phá và phục hồi dành cho những người trưởng thành gặp tổn thương từ gia đình. Khái
Sổ Tay Điềm Tĩnh & Nóng Giận Trong cuộc sống thường ngày, chúng ta thường nổi giận vì nhiều nguyên do: công việc không suôn sẻ, áp lực từ xã hội. Thậm chí, chúng
Gieo Thói Quen Nhỏ, Gặt Thành Công Lớn ------------ Mọi người thường nghĩ, chính họ là nguyên nhân khiến bản thân không thể đạt được sự thay đổi lâu dài. Nhưng vấn đề ở
Gieo Thói Quen Nhỏ Gặt Thành Công Lớn Mọi người thường nghĩ, chính họ là nguyên nhân khiến bản thân không thể đạt được sự thay đổi lâu dài. Nhưng vấn đề ở đây không
Định Vị Bản Thân Cuốn sách là cẩm nang hướng dẫn các bước xây dựng thương hiệu cá nhân trên mạng xã hội nói riêng cũng như các nguyên lý xây dựng thương hiệu cá
Phép Màu Để Trở Thành Chính Mình (Tái Bản 2018) Cuốn sách Phép màu để trở thành chính mình chính là những đúc kết thành công qua những nỗ lực vượt khó của tác giả,
Cạm Bẫy Của Thành Công Thành công và hạnh phúc không giống nhau. Bất chấp điều đó, nhiều người vẫn làm những công việc “bên ngoài mang lại thành công nhưng bên trong lại chẳng
Chữa Lành Đứa Trẻ Bên Trong Bạn (Tái Bản) ------------ Cuốn sách này là quá trình khám phá và phục hồi dành cho những người trưởng thành gặp tổn thương từ gia đình. Khái
Óc Sáng Suốt Óc sáng suốt là một trong những tác phẩm tiêu biểu của học giả Thu Giang - Nguyễn Duy Cần. Thông qua cuốn sách này, tác giả hướng dẫn cho người đọc những
Cuốn Sách Về Thay Đổi Tư Duy Để Thành Công: Làm Thế Nào Để Sống Một Đời Tốt Đẹp - Hãy Biến Ước Mơ Thành Hiện Thực Chúng ta, bạn, một người đàn ông, một
Sức Mạnh Của Sự Khen Ngợi “Khen ngợi thì có gì khó, chẳng phải dễ như trở bàn tay sao?”, trong mười người thì có đến chín người cho rằng khen ngợi là một việc
Nghệ Thuật "Đánh Cắp" Ý Tưởng - 10 Bí Mật Không Ai Nói Với Bạn Về Sáng Tạo Nhà xuất bản : Nhà Xuất Bản Thế Giới. Công ty phát hành : Alphabooks. Tác giả
Bạn Có Phải Cá Hồi Chum Không? Tâm lí học gắn bó mật thiết với cuộc sống của nhân loại. Trong Kinh thánh, có câu chuyện kể về việc Adam và Eva ăn trộm trái
Tại sao chúng ta cần làm việc nhóm? Đơn giản là chúng ta không hoàn hảo, làm việc nhóm sẽ tập trung những mặt mạnh của từng người và bổ sung những điểm yếu cho
Đôi khi thứ cản trở bạn giao tiếp với người khác không phải là ngoại hình hay cách ăn mặc không phù hợp của bạn, mà chính là trờ ngại xuất phát từ nội tâm.
Dẫn Lối Ngôn Từ ------------ DẪN LỐI NGÔN TỪ 10 QUY TẮC KỂ CHUYỆN ĐỂ THUYẾT PHỤC BẤT KỲ AI Ai cũng có câu chuyện để kể Có rất nhiều lý do khiến bạn
👁️ 32 | ⌚2025-09-27 18:30:02.515


THÔNG TIN SÁCH CƠ BẢN Tác phẩm: Không tự khinh bỉ không tự phí hoài Tác giả: Vãn Tình Số trang: 368 Kích thước: 14,5 x 20 (cm) Đơn vị phát hành: Bloom Books Nhà
Inventaire illustré des merveilles du monde - Thế giới kỳ quan bằng tranh Cuốn Thế giới kỳ quan bằng tranh này đưa chúng ta đi tham quan khắp nơi trên thế giới, chiêm ngưỡng những
Xã hội là một cuộc chiến với nhiều thách thức, mà trong đó, con người được xem là những chiến sĩ tham gia cuộc chiến này với nhiều xuất thân khác nhau – người tốt,
Tâm Lý Học Nghệ Thuật Giao Tiếp Thành Công Muốn chung sống hoà thuận, tốt đẹp hơn với người khác, điều đầu tiên bạn cần làm là trở thành “Người biết nói chuyện”. Nghệ thuật
Trong Mỗi Chúng Ta Đều Có Một Đứa Trẻ Cần Vỗ Về Dịch giả: Minh Thùy Thương hiệu: Bookland Khổ sách: 14.5 x 20.5 cm Số trang: 248 trang Nhà xuất bản: Thanh Niên Giá:
Mỗi Đứa Trẻ Là Một Thiên Tài! Những Thành Tựu Của Phương Pháp Tiếp Cận Mới Nhất Trong Giáo Dục Đối với trẻ nhỏ việc giúp bé phát triển khả năng tư duy sáng tạo
Bạn có ý tưởng. Bạn muốn thu hút sự quan tâm của những người xung quanh bạn về ý tưởng của bạn Bạn muốn mọi ý tưởng và sáng kiến của bạn đều biến thành
365 ngày, niềm vui đồng hành cùng tâm lý học 365 hành động thư giãn dành cho bạn để chiến đấu chống lại sự căm ghét bản thân. Tương lai sẽ có rất nhiều khoảnh
Quyển sách LÀM CHỦ ĐỘNG LỰC LÀM CHỦ CUỘC ĐỜI là lời kêu gọi đánh thức bản chất của động lực. Tôi đã tận mắt chứng kiến những người áp dụng những kỹ thuật Susan
Tỉ Tê Chuyện Đam Mê - 1.000 Ngày Đi Bụi Của “Con Nghiện” Tự Do " - SÁCH MÀU ------------ Tỉ Tê Chuyện Đam Mê - 1.000 Ngày Đi Bụi Của “Con Nghiện” Tự
Tâm Lý Học Tình Yêu - Bí Kíp Loại Bỏ Mối Quan Hệ Độc Hại Bạn có đang ở trong một mối quan hệ độc hại? Một mối quan hệ khiến bản thân bạn luôn
Bí Kíp Sinh Tồn Cho Những Trái Tim Nhạy Cảm Nếu bạn là một người cực kỳ nhạy cảm, bạn có thể dễ dàng cảm thấy bị choáng ngợp bởi thế giới xung quanh, phải
“Bách Khoa” Giải Tỏa Căng Thẳng - 50+ Giải Pháp Gạt Bỏ Mọi Lo Lắng, Muộn Phiền Và Mệt Mỏi Trong Cuộc Sống
Làm Người Trưởng Thành Vất Vả Đến Thế Sao? Dành tặng những trái tim ngổn ngang, bối rối khi đứng trước ngưỡng “chuyển m.ình” của cuộc sống mang tên “trưởng thành” “Khi bạn bỏ qua
Con Đường An Lạc - Buông Xả Muộn Phiền, Nương Bờ Hạnh Phúc An lạc không phải là niềm vui sướng nhất thời, mà là dòng suối mát tưới tẩm từ bên trong, mang lại
Lý Tiểu Long là nhân vật đầy sức hút – nhuốm màu huyền thoại. Nay người ta gom góp các lời ông nói tập hợp lại thành tập đại thành dưới đây. Gọi là Tư
Không Tự Khinh Bỉ - Không Tự Phí Hoài (Tái Bản 2021)
Vấn đề ô nhiễm môi trường những năm gần đây đang trở nên ngày càng trầm trọng, theo đó nó cũng ngày càng thu hút sự chú ý không chỉ từ các cấp chính phủ
Tác giả: Kim Hansol Dịch giả: Phan Ngân Hà Thể loại: Tản văn, Self-help Số trang: 212 trang Nhà xuất bản: Văn Học Giá bìa : 109.000 VNĐ Loại bìa: Bìa mềm --------------------------- Giới Thiệu
Nghệ Thuật Hiện Diện Làm thế nào để chúng ta nổi bật trong thị trường việc làm cạnh tranh hiện tại khi có rất nhiều người thông minh, có năng lực ngoài kia? Câu trả