✨400 Bài Toán Cơ Bản Lớp 9 (Dùng Chung Cho Các Bộ SGK Hiện Hành) - HA













400 Bài Toán Cơ Bản Lớp 9 (Dùng Chung Cho Các Bộ SGK Hiện Hành) ĐẠI SỐ Chương I. CĂN BẬC HAI – CĂN BẬC BA I. Căn bậc hai II. Căn thức bậc hai và hằng đẳng thức VA2 = |A| III. Liên hệ giữa phép nhân (phép chia) và phép khai phương.. IV. Biến đổi đơn giản căn thức bậc hai. V. Thực hiện phép tính, rút gọn biểu thức chứa căn bậc hai. VI. Căn thức bậc ba Bài tập ôn chương I. Chương II. HÀM SỐ BẬC NHẤT
- Khái niệm hàm số II. Hàm số bậc nhất. III. Hệ số góc của đường thẳng y = ax + b (a ≠ 0). Bài tập ôn chương II... Chương III. HỆ PHƯƠNG TRÌNH BẬC NHẤT HAI ẨN I. Phương trình bậc nhất hai ẩn II. Hệ hai phương trình bậc nhất hai ẩn... III. Giải bài toán bằng cách lập hệ phương trình Bài tập ôn chương III Chương IV. HÀM SỐ y = ax2 (a ≠ 0) PHƯƠNG TRÌNH BẬC HAI MỘT ẨN I. Hàm số y = ax2 (a ≠ 0) II. Phương trình bậc hai một ẩn. III. Hệ thức Vi-ét và ứng dụng. IV. Phương trình quy về phương trình bậc hai V. Giải bài toán bằng cách lập phương trình bậc hai một ẩn Bài tập ôn chương IV HÌNH HỌC Chương I. HỆ THỨC LƯỢNG TRONG TAM GIÁC VUÔNG. Chương II. ĐƯỜNG TRÒN I. Định nghĩa đường tròn và tính chất đối xứng của đường tròn II. Vị trí tương đối của một điểm, một đường thẳng với đường tròn. Tiếp tuyến của đường tròn III. Vị trí tương đối của hai đường tròn. Chương III. GÓC VỚI ĐƯỜNG TRÒN I. Góc ở tâm và góc nội tiếp, cung chứa góc. II. Góc tạo bởi tia tiếp tuyến và cát tuyến. Góc có đỉnh ở bên trong và góc có đỉnh ở bên ngoài đường tròn.... III. Tứ giác nội tiếp. Đường tròn nội tiếp. Đường tròn ngoại tiếp IV. Độ dài đường tròn. Diện tích hình tròn. Chương IV. HÌNH TRỤ, HÌNH NÓN, HÌNH CẦU BÀI TẬP ÔN TẬP CUỐI NĂM Công ty phát hành: Nhà Sách Hồng Ân Năm Xuất Bản: 2025 Kích Thước: 17x24 cm Số Trang: 181 Nhà Xuất bản: Đại Học Sư Phạm Bìa: Mềm Tác Giả: TS. VŨ THẾ HỰU - NGUYỄN VĨNH CẬN




Sách mới gộp thành 1 cuốn: Nhà xuất bản : NXB Đại học Quốc gia Hà Nội Tác giả : Nguyễn Đức Tấn, Nguyễn Đoàn Vũ, Nguyễn Bình Dương
Bài Tập Phát Triển Năng Lực Ngữ Văn 7 - Tập 1 (KN) Từ năm học 2021-2022, chương trình và sách giáo khoa Ngữ văn Trung học cơ sở mới được triển khai dạy và
Đề Thi Tuyển Sinh Vào Lớp 10 Môn Tiếng Anh (Có Đáp Án) Tác giả: Trịnh Thanh Thủy Công ty phát hành: Zenbooks Nhà xuất bản: Thế giới Năm xuất bản: 2025 Giới thiệu về sách Đề Thi Tuyển Sinh Vào Lớp 10 Môn Tiếng Anh Đề Thi Tuyển Sinh Vào Lớp 10 Môn Tiếng Anh (Có Đáp Án) là tài liệu ôn luyện lý tưởng cho học sinh lớp 9 trong giai đoạn nước rút trước kỳ thi vào lớp 10. Cuốn sách tổng hợp các đề thi bám sát cấu trúc chính thức, giúp học sinh làm quen với dạng đề, nâng cao kỹ năng và tự tin bước vào kỳ thi quan trọng này. Nội dung nổi bật của sách - 28 đề thi cập nhật: Bao gồm 10 đề theo cấu trúc TP.HCM, 10 đề theo cấu trúc Hà Nội, và 8 đề thi thực tế từ 2020–2024. - Kiểm tra toàn diện: Đánh giá 5 kỹ năng: Ngữ âm, Từ vựng – Ngữ pháp, Đọc hiểu, Viết lại câu, và Viết luận (tự luận và trắc nghiệm). - Đáp án chi tiết: Hỗ trợ tự học, kiểm tra và đánh giá năng lực bản thân. - Phân chia theo vùng miền: Đáp ứng đặc thù đề thi của Hà Nội và TP.HCM, sát với thực tế. Điểm khác biệt của sách - Cập nhật mới nhất 2025: Phản ánh chính xác cấu trúc và xu hướng đề thi hiện tại. - Thực tiễn cao: Đề thi thực tế từ 2020–2024 giúp học sinh làm quen với áp lực thi thật. - Dễ sử dụng: Phù hợp cho tự học hoặc học cùng giáo viên/gia sư, với đáp án rõ ràng. - Uy tín biên soạn: Được đội ngũ giáo viên giàu kinh nghiệm của Zenbooks xây dựng cẩn thận. Đối tượng phù hợp Cuốn sách dành cho: - Học sinh lớp 9 ôn thi vào lớp 10, muốn nâng cao kỹ năng tiếng Anh. - Phụ huynh hỗ trợ con em ôn luyện hiệu quả cho kỳ thi quan trọng. -
Sách - Hướng dẫn ôn thi tốt nghiệp THPT môn Tin học năm học 2024-2025 (Bộ GD&ĐT công bố ngày 18/10/2024) - NXB Giáo Dục (BÁM SÁT CẤU TRÚC VÀ NỘI DUNG ĐỀ THI MINH
Mục lục: Phần 1: Hóa đại cương Chủ đề 1: Nguyên tử Chủ đề 2: Bảng tuần hoàn các nguyên tố hóa học và định luật tuần hoàn Chủ đề 3: Liên kết hóa học
Combo Bài Tập Em Học Toán Lớp 7 (Dùng Chung Cho Các Bộ SGK Mới Hiện Hành) (Bộ 2 Cuốn) Bộ sách gồm có: Bài Tập Em Học Toán Lớp 7 - Tập
Nhằm đáp ứng nhu cầu tự luyện tập, củng cố kiến thức và nâng cao kĩ năng học toán, chúng tôi trân trọng giới thiệu cùng bạn đọc cuốn sách Rèn kĩ năng học tốt

Sách - bài tập nâng cao vật lí 9 bồi dưỡng học sinh giỏi (dùng chung cho các bộ sgk hiện hành) + ha Nhằm giúp học sinh nắm vững các kiến thức trọng
Cuốn sách bài tập này dùng kèm với cuốn Em học Toán 9 (do đó trong sách có dùng kí hiệu SGK khi nói về cuốn sách trên), nhằm giúp các em có thêm bài
SÁCH - Tư liệu dạy - học địa lí 9 (dùng chung cho các bộ sgk hiện hành) Tư Liệu Dạy - Học Địa Lí 9 (Dùng Chung Cho Các Bộ SGK Hiện Hành) Sách TƯ
Cuốn sách bài tập này dùng kèm với cuốn Em học Toán 9 (do đó trong sách có dùng kí hiệu SGK khi nói về cuốn sách trên), nhằm giúp các em có thêm bài
CAM KẾT VÀ BẢO HÀNH - Đảm bảo và cam kết sản phẩm đúng với mô tả và hình ảnh của shop. - Đổi trả sản phẩm miễn phí trong vòng 7 ngày nếu sản
Sách - Hướng dẫn giải bài tập toán 9 (bám sát sgk kết nối tri thức với cuộc sống) - HA Cuốn sách Sách - Hướng dẫn giải bài tập toán 9 (bám sát sgk
Sách - Bồi Dưỡng Học Sinh Giỏi Lịch Sử 8 (Theo chương trình GDPT mới) - ndbooks Chương trình Lịch sử lớp 8 ở trường THCS có nhiều nội dung phong phú, vừa gắn với
Cuốn sách bài tập này dùng kèm với cuốn Em học Toán 9 (do đó trong sách có dùng kí hiệu SGK khi nói về cuốn sách trên), nhằm giúp các em có thêm bài
Cuốn sách " 500 bài tập cơ bản và nâng cao Toán 9" nhằm giúp các em học sinh khá, giỏi lớp 9 có một tài liệu Toán nâng cao giúp đánh giá năng lực,
Công ty phát hành: NXB Giáo Dục Việt Nam Nhà xuất bản: NXB Giáo dục Việt Nam Tác giả: Nhiều tác giả Số trang: 87 Năm xuất bản: 2025 Khổ sách: 19x26.5 cm Hình thức:
Hướng Dẫn Học Ngữ Văn 7- Tập 2 (Bám Sát SGK Chân trời sáng tạo ) Với mong ước giảm bớt gánh nặng cho quý thầy cô và giúp các em khám phá vẻ kì
Sách - Giúp em giỏi toán 9/2 (bám sát sgk kết nối tri thức với cuộc sống) - HA Cuốn sách Giúp em giỏi Toán 9 – Tập hai được biên soạn bám sát
CAM KẾT VÀ BẢO HÀNH - Đảm bảo và cam kết sản phẩm đúng với mô tả và hình ảnh của shop. - Đổi trả sản phẩm miễn phí trong vòng 7 ngày nếu sản
Sách - Notebook sổ tay ngữ pháp tiếng anh tiểu học và trung học cơ sở - HA Cuốn " Notebook sổ tay ngữ pháp tiếng anh (tiểu học và trung học cơ sở) hệ
Ưu điểm của cuốn sách này: 1. Chọn lọc thông tin: Cuốn sách được chắt lọc và tóm tắt ngắn gọn từ 48 chương trọng tâm, giúp học sinh dễ dàng tiếp cận và hiểu được
Tổng Hợp Các Bài Toán Phổ Dụng Đại Số 9 là một cuốn sách hay do TS. VŨ THẾ HỰU - NGUYỄN VĨNH CẬN biên soạn nhằm giúp các em học sinh tự học ở
Phát Triển Kĩ Năng Đọc - Hiểu Và Viết Văn Bản Theo Thể Loại Môn Ngữ Văn 8 (Bám Sát SGK Chân Trời Sáng Tạo) Với mong muốn giúp các em học sinh có
Bồi Dưỡng Học Sinh Giỏi Khoa Học Tự Nhiên 8 (Dùng Chung Cho Các Bộ SGK Hiện Hành) Bồi Dưỡng Học Sinh Giỏi Khoa Học Tự Nhiên 8 (Dùng Chung Cho Các Bộ SGK
Bài tập tiếng Anh 7 - Có đáp án (Dùng kèm SGK Global Success) Bản mới 2024 được tái bản và cập nhật theo bộ sách giáo khoa Tiếng Anh – Global Success của Bộ
Bộ Đề Kiểm Tra Toán 9 (Bám Sát SGK Chân Trời Sáng Tạo) Sau một năm thực hiện Chương trình Giáo dục phổ thông mới, với phương châm là vừa giúp học sinh phát triển
Mô tả sản phẩm Nhà xuát bản: NXB đại học quốc gia hà nội năm xuất bản : 2025 trang: 120 nhà phát hành : nhà sách hồng ân tác giả : nhiều tác giả
SÁCH 400 bài toán chịn lọc hóa học 9 + HA Để giúp các em học sinh khá, giỏi có thêm tài liệu tham khảo, rèn luyện kĩ năng giải toán Hóa học, chúng tôi
THÔNG TIN CHI TIẾT - Tác giả : Nguyễn Phước Lợi - Nhà xuất bản : NXB Dân Trí - Kích thước : 16 x 24 cm - Số trang : 144 trang - Loại
Take Note! - Trọng Tâm Kiến Thưc Tiếng Anh Trung Học Cơ Sở Bạn đang tìm một cuốn sách giúp nắm chắc kiến thức tiếng Anh từ lớp 6 đến lớp 9? "Take Note! Trọng
Bồi Dưỡng Học Sinh Giỏi Tiếng Anh 8 (Dùng Chung Cho Các Bộ SGK Hiện Hành) Các em học sinh thân mến! Quyển sách “BỒI DƯỠNG HỌC SINH GIỎI TIẾNG ANH 8” được biên soạn nhằm mang
Hướng Dẫn Học Tốt Toán Lớp 8 - Tập 2 (Bám Sát SGK Cánh Diều) Sau một năm thực hiện chương trình giáo dục phổ thông mới, với phương châm là vừa giúp học
Phát Triển Trí Thông Minh Toán 5 (Dùng Chung Cho Các Bộ SGK Hiện Hành) Nhằm giúp quý thầy, cô, phụ huynh có thêm tư liệu hướng dẫn con em và để các em
Các bài tập trong cuốn Tổng Hợp Các Bài Toán Phổ Dụng Hình Học 9 được chọn lọc từ nhiều sách tham khảo, được sắp xếp chương và mục lục theo chương trình hiện hành
Sách củng cố và ôn luyện Vật lý 8 là những kiến thức vàtrọng tâm được tổng hợp và bám sát theo chương trình Giáo dục và Đào tạo, tạo nên tảng vững chắc cao
Hướng Dẫn Học Và Phương Pháp Giải Toán 8 - Tập 1 (Bám Sát SGK Chân Trời Sáng Tạo) Sau một thời gian thực hiện chương trình giáo dục phổ thông mới, với cương lĩnh
Tác giả: Đại Lợi (chủ biên) - Hằng Nguyễn Giá bìa: 85.000 ₫ NXB: NXB Đại Học Quốc Gia Hà Nội Phát hành: Minh Thắng Năm xuất bản: 2023(ISBN: 86)(Mã sách:
Nhằm đáp ứng nhu cầu tự luyện tập, củng cố kiến thức và nâng cao kĩ năng học toán, chúng tôi trân trọng giới thiệu cùng bạn đọc cuốn sách Rèn kĩ năng học tốt
Cuốn sách được biên soạn một cách tỉ mỉ theo chương trình sách giáo khoa Tiếng Anh Global Success và được chia thành hai phần chính: phần bài tập cơ bản và phần bài tập
Bài Tập Tiếng Anh 7 - Không Đáp Án (Mai Lan Hương) Bài Tập Tiếng Anh 7 - Không Đáp Án (Mai Lan Hương) được biên soạn dưới dạng vở bài tập, dựa theo sách
GLOBAL SUCCESS Chinh phục 4 kỹ năng tiếng anh nghe - nói - đọc - viết lớp 7 tập 1
Phương Pháp Giải Bài Tập Toán 7 - Tập 1 (Dùng Kèm SGK Kết Nối Tri Thức Với Cuộc Sống) Quý Thầy, Cô cùng quý phụ huynh thân mến! Các em học sinh yêu quý!
Tác giả: Đại Lợi (chủ biên) - Hằng Nguyễn Giá bìa: 85.000 ₫ NXB: NXB Đại Học Quốc Gia Hà Nội Phát hành: Minh Thắng Năm xuất bản: 2023(ISBN: 86)(Mã sách:
Bộ Lịch Kiến Thức Cần Nhớ Khoa Học Tự Nhiên 6 (Dùng Chung Các Bộ SGK Hiện Hành) GIỚI THIỆU SÁCH: Bộ Lịch Kiến Thức Cần Nhớ Khoa Học Tự Nhiên 6 là một tài liệu
Sách - Bồi dưỡng khoa học tự nhiên 6 (dùng chung các bộ sgk hiện hành) - HA Cuốn sách Bồi dưỡng học sinh giỏi KHOA HỌC TỰ NHIÊN 6 được xuất bản nhằm cung
CAM KẾT VÀ BẢO HÀNH - Đảm bảo và cam kết sản phẩm đúng với mô tả và hình ảnh của shop. - Đổi trả sản phẩm miễn phí trong vòng 7 ngày nếu sản
Nhà xuất bản: NXB Dân Trí Tác giả: Phan Văn Đức Loại bìa: Bìa Mềm Số trang: 156 Năm xuất bản: 2025 Toán Nâng Cao Bồi Dưỡng Học Sinh Khá, Giỏi 6 Được
Sách - Kiến thức cần nhớ Khoa học tự nhiên 9 (dùng chung cho các bộ SGK hiện hành) HA Năm Phát Hành 2025 Nhà Xuất Bản Đại Học Quốc Gia Hà Nội Tác
Nhằm đáp ứng nhu cầu tự luyện tập, củng cố kiến thức và nâng cao kĩ năng học toán, chúng tôi trân trọng giới thiệu cùng bạn đọc cuốn sách Rèn kĩ năng học tốt
Cuối mỗi phần có một số Bài đọc thêm về lịch sử toán học. Riêng các nội dung về hình học tổ hợp và phương trình với nghiệm nguyên được giới thiệu trong các cuốn
Sách - Học tốt toán 6 Thông tin: Tác giả: Nguyễn Đức Tấn và nhiều tác giả khác Nhà Xuất Bản: NXB Đại học Quốc gia Hà Nội Số trang 226 Năm xuất bản 2022
Phương Pháp Tư Duy Tìm Cách Giải Toán Đại Số 8 Phương Pháp Tư Duy Tìm Cách Giải Toán Đại Số 8, giúp các em tìm tòi cách giải bài tập toán đại số lớp
Thông tin chi tiết: Công ty phát hành: NS Hồng Ân Tác Giả: Nhiều tác giả Số trang: 195 Năm xuất bản:2023 Khổ sách:19x27cm Hình thức :bìa mềm NXB: NXB Đại học quốc gia Hà
Hướng Dẫn Học Tốt Ngữ Văn 7 - Tập 2 (Bám Sát SGK Cánh Diều) Tiếp tục đồng hành cùng với chủ trương lớn của Đảng và Nhà nước – thay đổi sách giáo khoa,
270 Đề Và Bài Văn Hay Lớp 6 (Dùng Chung Cho Các Bộ SGK Hiện Hành) Các em học sinh lớp 6 thân mến! Trên tay các em là cuốn sách 270 Đề Và Bài Văn Hay
Bài Tập Tiếng Anh 8 (Không Đáp Án) Dùng Kèm SGK Tiếng Anh 8 (Bám Sát SGK Cánh Diều I-Learn Smart World) Cuốn sách “Bài tập tiếng Anh 8 – Dùng kèm SGK Tiếng Anh 8" được biên soạn dựa
Bồi Dưỡng Học Sinh Giỏi Khoa Học Tự Nhiên 6 (Dùng Chung Cho Các Bộ SGK Hiện Hành) Cuốn sách Bồi dưỡng học sinh giỏi KHOA HỌC TỰ NHIÊN 6 được xuất bản
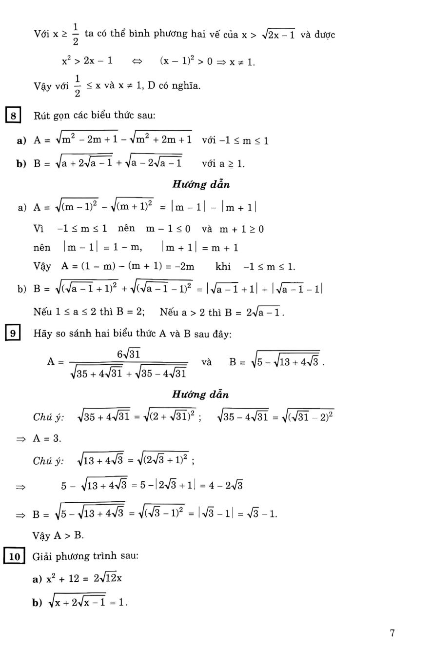
400 Bài Toán Cơ Bản Lớp 9 (Dùng Chung Cho Các Bộ SGK Hiện Hành) ĐẠI SỐ Chương I. CĂN BẬC HAI – CĂN BẬC BA I. Căn bậc hai II. Căn thức bậc
NXB : NXB Đà Nẵng Tác giả : Mai Lan Hương – Hà Thanh Uyên Khổ: 19 x 26.5 cm Số trang : 216 Loại bìa : Bìa miềm Xuất bản năm 2023 Hướng
👁️ 47 | ⌚2025-10-01 00:00:04.417


Nếu bạn đang mắc kẹt trong lối mòn, hoặc sống một cuộc sống theo thói quen, hằng ngày lặp đi lặp lại những công việc như một cái máy móc, để mỗi ngày trôi qua
Trong nền kinh tế kỹ thuật số ngày nay, công nghệ thông minh cung cấp thông tin chi tiết về sản phẩm chỉ với một cú nhấp chuột, hoặc thậm chí cung cấp thông tin
Cuốn sách gồm 52 thí nghiệm về Vật Lý, Hóa học và Sinh học. Trẻ sẽ được tìm hiểu những hiện tượng hết sức quen thuộc của cuộc sống như hiệu ứng nhà kính, chuyển
Mã hàng 89349742597 Tên Nhà Cung Cấp NXB Trẻ Tác giả Trần Văn Phương NXB Trẻ Năm XB 2025 Trọng lượng (gr) 219 Kích Thước Bao Bì 20.5 x 13 x 1 cm Số trang
Tác giả: Inamori Kazuo Dịch giả: Nguyễn Đỗ An Nhiên Khổ sách: 13x20,5 Số trang: 184 Giá bán: 95,000 VNĐ ISBN: 978-604-1-26197-6 | Barcode: 8934974206330 In lần thứ 1 năm 2025 Nhà xuất bản Trẻ
Bài Tập Tiếng Anh Lớp 7 (Có Đáp Án) The Langmaster - Bài Tập Tiếng Anh Lớp 7 được biên soạn dựa vào phương pháp dạy ngôn ngữ giao tiếp (Communicative Language Teaching Method), sách tập
Một chàng trai trẻ bị đâm đến chết vì những con cá quý giá của mình. Một ông trùm châu Á mua con cá rồng độc nhất vô nhị với giá 150.000 đô la. Một
Điềm Tĩnh Để Bình Yên - Real Calm
Nhà tâm lý học và triết gia người Mỹ William James từng nói: “Hành động tưởng chừng đi sau cảm xúc, nhưng thực ra hành động và cảm xúc đi cùng nhau; và bằng cách
Tác giả: Nguyễn Tuấn Quỳnh Nhà phát hành: Saigon Books Nhà xuất bản: Nhà xuất bản Thế Giới Kích thước: 13 x 20.5 cm Số trang: 248 Cân nặng (g): 300 Năm xuất bản: 2022 Mã sách: 8935278607601 Người ta đánh giá chỉ số IQ hay EQ không quan trọng bằng chỉ số AQ (chỉ số vượt khó). Vượt khó chính là một thái độ sống tích cực. Như vậy, trí thông minh hay cảm xúc không quyết định sự thành bại trong cuộc đời bạn, mà cả thái độ sống. Có thái độ tích cực, vạn sự sẽ thành. Mang thái độ tiêu cực, muôn sự sẽ bại. Sống ở thể chủ động tập hợp những bài viết và tâm huyết của tác giả Nguyễn Tuấn Quỳnh – một người chia sẻ, truyền cảm hứng, một người đi, một người viết và đồng thời cũng là một doanh nhân. Cuốn sách này phản ánh suy nghĩ, những trăn trở, chia sẻ của tác giả với thế hệ trẻ thông qua những chuyến đi thú vị đến các nước trên thế giới và công việc kinh doanh mà tác giả yêu thích. Với tác giả, hành trình cuộc đời của con người chính là khám phá những năng lực và khả năng của bản thân. Sống ở thể chủ động sẽ giúp bạn nhận ra, khi bạn có những ước mơ cháy bỏng, chúng sẽ thôi thúc bạn hăm hở bắt tay thực hiện, bạn sẽ tạo ra được một cuộc sống thú vị và có giá trị.
Yêu Không Đúng Cách Trách Được Ai Mong bạn hãy yêu sáng suốt, hãy yêu khi bạn sẵn sàng, yêu khi bạn tự tin và trân trọng chính bản thân m.ình. Bạn thân mến, phải
Em muốn làm con ngoan (TB 2018) I. Giới Thiệu Sách Em Muốn Làm Con Ngoan (Tái Bản 2018) Một cuốn sách đi vào thế giới nội tâm của con trẻ Kim Linh là học
Dẫu ta luôn khao khát có được những câu trả lời rõ ràng cho muôn vàn rắc rối cuộc đời, hiếm khi nào ta có được chúng. Trong cuốn sách này, Marc Lesser cho người
Sách - Sống Bản Lĩnh Theo Cách Một Quý Cô - All The Rules - SKYBOOOKS - Tủ Sách Quí Cô - Free Book Care Lồng ngực trái của người đàn ông không phải là
Từ IQ Đến EQ - Nắm Bắt Thành Công Qua Trí Tuệ Cảm Xúc ------------ Nhà đạo đức học Aristore từng nhận định: “Bất cứ ai cũng có thể trở nên giận dữ – đó
Dũng Cảm Để Trưởng Thành Nhà xuất bản : Nhà Xuất Bản Văn Học. Công ty phát hành : Mintbooks. Tác giả : Choi Seoyoung. Kích thước : 13 x 20.5 x 1.1 cm. Số
SÁCH: SÁNG TẠO - PHƯƠNG THỨC LÀM VIỆC VÀ SINH TỒN TRONG TƯƠNG LAI Tác giả : Phương Quân Dịch giả :Đỗ Thúy Hạnh NXB: NXB Thanh Niên Kích thước : 14.5 cm x 20.5
HIỂU BẢN THÂN, QUÊN BẢN THÂN Tác giả : Marc Lesser Dịch giả :Hải Thương Nhà xuất bản: Thanh Niên Kích thước : 14.5 x 20.5 cm Năm xuất bản : 2020 Số trang :
Sách Một Cuốn Sách Trầm Cảm - Skybooks - BẢN QUYỀN ------------ THÔNG TIN SÁCH: Tác phẩm: Một cuốn sách trầm cảm Tác giả: macmart Số trang: 208 trang Kích thước: 13 x 19 cm
Sách Một Cuốn Sách Trầm Cảm - Skybooks - BẢN QUYỀN ------------ THÔNG TIN SÁCH: Tác phẩm: Một cuốn sách trầm cảm Tác giả: macmart Số trang: 208 trang Kích thước: 13 x 19 cm